
全方位策略解析与实操指南随着互联网技术的飞速发展,直播行业逐渐成为各大平台的新宠,房产直播作为一种新兴的营销模式,以其直观、互动性强等特点,吸引了大量消费者...
02-12 admin 9

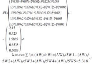
如何精准定位客户需求随着我国房地产市场的不断发展,房产需求矩阵模板作为一种有效的市场分析工具,被越来越多的房地产企业所采用,它能够帮助企业精准定位客户需求,...
02-08 admin 13

《房产视频矩阵打造攻略:如何通过视频内容实现房产营销矩阵化布局?》在互联网时代,房产营销已经从传统的线下推广转向了线上内容营销,视频作为最具传播力和互动性的...
02-07 admin 18

全方位布局,精准触达目标客户随着房地产市场的日益成熟,竞争愈发激烈,房产项目要想在众多竞争者中脱颖而出,就必须采取有效的营销策略,矩阵营销作为一种创新的营销...
12-26 admin 23

打造高效房产信息平台随着互联网技术的飞速发展,房产信息平台已经成为人们获取房产信息的重要渠道,构建一个高效、全面的房产同城矩阵,不仅能够满足用户对房产信息的...
12-10 admin 21

构建多元化发展格局的实战指南随着我国房地产市场的不断成熟,竞争日益激烈,房产开发企业如何在这个市场中脱颖而出,实现可持续发展,成为了众多开发商关注的焦点,矩...
12-03 admin 32

《构建直播房产矩阵:全方位策略解析与实战指南》随着互联网的快速发展,直播行业在我国逐渐崭露头角,尤其是直播带货的兴起,使得直播成为了各行各业推广产品、拓展市...
11-23 admin 22
《房产矩阵内容制作指南:打造高质量房产信息矩阵的关键步骤》随着房地产市场的日益繁荣,越来越多的房产平台和自媒体开始关注房产矩阵内容的制作,房产矩阵内容是指通...
11-21 admin 23

全方位解析房产分销矩阵的操作方法随着房地产市场的日益成熟,房产分销已经成为房地产企业拓展销售渠道、提高市场占有率的重要手段,构建一个高效、稳定的房产分销矩阵...
11-02 admin 39

打造高效营销格局在竞争激烈的房地产市场,如何有效地进行房产营销,成为许多房地产企业关注的焦点,构建一个高效的房产营销矩阵,不仅能够提升品牌知名度,还能促进销...
10-24 admin 40